![]() |
MetoDoc v1.0 |
Fino a tutto il 1998 la documentazione prodotta dal MURST e dai suoi fornitori si presenta eterogenea nella forma e nella struttura. Classi di documenti omogenei, come ad esempio le relazioni sui moduli, si trovano ad avere forma e struttura differente. Inevitabilmente anche la parte tecnologica del software presenta gli stessi problemi.
Questo documento si propone di diventare riferimento per la redazione della documentazione relativa ai progetti del SI del MURST. Questa attività rientra nel percorso formativo che costituisce la prima fase del primo progetto informatico del Piano Triennale 1999-2001 presentato all'AIPA.
Nella sua prima versione questo documento ha definito gli standard per la stesura di documenti generici. Nelle versioni successive di questo documento si introducono gli standard ministeriali per tutte le fasi della produzione del software gestionale e per la stesura di documenti specifici.
In appendice sono riportati tutti i prototipi prodotti e pronti per l'utilizzazione diretta.
La parte relativa ai diagrammi di flusso fornisce una simbologia visiva e letterale e un insieme di regole da utilizzare per la realizzazione di algoritmi.
Obiettivi di questo modulo sono:
Tutti i documenti prodotti o acquisiti dal SI:
Si indicano di seguito le caratteristiche del layout di un generico documento. A quanto di seguito descritto discorsivamente, si affianca il prototipo presentato in appendice che è comunque da considerarsi il principale riferimento, anche per ciò che non è contemplato in queste righe.
Inderogabilmente A4. Gli schemi e l'eventuale codice dovranno essere opportunamente segmentati e collegati logicamente.
I margini devono tali da consentire qualunque rilegatura.
Indicazione: margini superiore e sinistro 2.5 cm, inferiore e destro 2 cm.
Intestazione e piè di pagina devono essere presenti su tutte le pagine seguenti la copertina e devono contenere: ente o gruppo responsabile del documento, titolo del documento, nome del file, data di ultima modifica, numero di pagina corrente e complessivo.
Indicazione: una linea continua separa il corpo del documento dall'intestazione e dal piè di pagina; l’intestazione include a sinistra la denominazione dell’ente o gruppo che ha realizzato il documento, a destra il nome del documento; il piè di pagina comprende a sinistra il nome del file e la data di ultima modifica, a destra la numerazione delle pagine.
Il testo deve essere validato da un correttore di errori.
La formattazione del testo deve essere delegata al programma e non realizzata con spazi, tabulazioni e righe bianche.
I capitoli sono numerati secondo la notazione araba puntata.
Il sommario deve essere generato automaticamente dalla struttura.
Tabelle, grafici e figure sono inserite all’interno dei capitoli quando non superano la pagina; in caso contrario sono riportate in allegato.
Il font del testo deve appartenere alla famiglia graziata, il font dei titoli alla famiglia dei bastoni.
Indicazioni: il testo è Times New Roman, corpo 10; i titoli sono in Arial; il titolo di un Capitolo è realizzato in corpo 16 stile Bold; il titolo di un sottocapitolo è realizzato in corpo 14 stile Bold; il titolo di un paragrafo è realizzato in corpo 12 stile Bold.
I documenti devono essere corredati da un frontespizio che lo identifichi con immediatezza e univocità.
Nella prima pagina del documento devono perciò comparire tutte le indicazioni che definiscono il documento: logo, titolo, versione, area e progetto di appartenenza, autori, data e indicazioni di copyright. Ben evidenziato deve apparire se il documento è riservato o ad uso interno. In prima pagina non appare né l’intestazione né il piè di pagina.
Indicazione: alto a sinistra il logo del Ministero; a destra, leggermente più in basso, il logo del Sistema Informativo Murst. Al centro del foglio, in font 36 Bold-Italic, il nome del documento; immediatamente sotto in font 20 il numero di versione. Al centro della pagina, in rosso, può apparire una delle seguenti frasi: "documento riservato" o "documento ad uso interno".
Nella zona bassa della pagina, disposte su due colonne, vengono inserite le seguenti informazioni (tutte le stringhe sono da ritenersi in corpo 9): Stringa "Area" e Nome area (Corpo 24); Stringa "Progetto" e Nome del Progetto (Corpo 24); Stringa "Capo Progetto" e nome del Capo Progetto (Corpo 14); Stringa "Prodotto" e Tipo del documento (Corpo 24); Stringa "Provenienza", seguita dalla Società, Ente o Gruppo di provenienza del documento (Corpo 14). Stringa "A cura di" e Titolo, Nome puntato e Cognome degli autori (Corpo 14); Stringa "Data" e data dell’ultima versione del documento (Corpo 14).
Infine è prevista la presenza della seguente frase:
"
ã Tutti i diritti sono riservati. Nessuna parte di questo documento può essere modificata senza l’autorizzazione scritta degli autori."7.1.2 Organizzazione dei Contenuti
Nel ribadire che tutti i documenti devono essere devono essere chiari, sintetici e completi e essere adeguatamente strutturati, si descrive nel seguito l'organizzazione principale e inderogabile di tutti i documenti.
Scopo della premessa è introdurre i contenuti del documento, indicare come sono affrontati nel documento e come eventualmente essi si inquadrano in un contesto più generale. Se i capitoli riguardanti i contenuti sono più di uno, in premessa viene inserita una descrizione sommaria degli argomenti di ciascun capitolo, che spiega in che modo è stato organizzato l'intero documento.
Nel capitolo Obiettivi si elencano gli obiettivi che il prodotto si prefigge.
Nel capitolo/i dei contenuti vengono trattate le problematiche del documento.
Partendo dall'analisi del problema si suggerisce una scomposizione della trattazione in sottoproblemi ciascuno affrontato separatamente in un paragrafo. Modalità di suddivisione, dipendenti dalla natura dell'argomento affrontato, possono essere:
-Suddivisione del problema in fasi;
-Suddivisione del problema in sottoproblemi.
In base all'ampiezza dei sottoproblemi/sottofasi (da ora in poi sp/sf) si può liberamente scegliere se trattare ogni sp/sf in un paragrafo (sottocapitolo) o in più distinti capitoli.
Se un capitolo è strutturato in paragrafi (sottocapitoli) ad inizio del capitolo viene inserita una descrizione dei sottoparagrafi.
7.1.2.4 Glossari ed elenchi di Definizioni
Vanno qui inseriti i glossari e gli elenchi di definizioni. Opzionale.
Và qui inserito ogni eventuale dizionario dei dati.
Bibliografia. Opzionale.
Negli Allegati vanno inseriti:
7.1.3 Versione di un documento
La sequenza temporale con cui viene rilasciato e modificato un documento; è individuata dal numero di versione seguito da un punto e dal numero di revisione.
Un documento completo rilasciato per la prima volta ha versione 1.0.
Un documento cambia versione (quindi per es: da 1.0 a 2.0) se:
La modifica, l'inserimento o la cancellazione di una o più parti che non ne cambiano significativamente i contenuti produce un documento revisionato (ad es: da ver. 1.0 a ver. 1.1).
Per documenti che vengono presentati pur essendo incompleti (eventualità si spera rara, ma comunque probabile), si utilizza la numerazione 0.XX dove con XX si intende la percentuale di documento che è stato realizzato.
Si utilizza la notazione ungara.
Si rimanda a:
Microsoft, Visual Basic 5, Manuale del programmatore, Appendice B: convenzioni per la scrittura di codice Visual Basic.
Stan Leszynski, Greg Reddick Naming Conventions for Microsoft Access, Microsoft 1994 (http://msdn.microsoft.com/library/backgrnd/html/msdn_20naming.htm)
7.3 Pseudocodifica e diagrammi di flusso
Si vuole definire un metodo semplice e lineare per una uniforme organizzazione degli algoritmi e consentire un rapido passaggio dalla simbologia visiva a quella letterale, e viceversa.
In questa direzione si è voluto fornire una integrazione della simbologia con le espressioni.
Lo schema adottato per le definizioni segue quello del glossario, con l’aggiunta della notazione scritta da utilizzare. La data per le specifiche di un termine è da riferirsi a quella del documento.
|
Vocabolo |
Significato |
Notazione |
||
|
ISTRUZIONE: |
Struttura semplice che identifica una azione |
Viene identificata da un nome avente l’iniziale maiuscola e le restanti lettere minuscole. |
||
|
BLOCCO |
Struttura composta che identifica due o più azioni |
Viene identificato da un nome semplice o composto avente per tutte le parole che lo compongono l’iniziale maiuscola e le restanti lettere minuscole. |
||
|
CONDIZIONE |
Struttura composta che genera due differenti azioni. La prima, obbligatoria, nel caso in cui una condizione si verifica, la seconda, opzionale, nel caso contrario. |
Espressioni tutte in lettere minuscole. |
||
|
CICLO |
Struttura composta che viene iterata fino a quando resta verificata una condizione. Ne utilizziamo due tipi differenti. |
Espressioni tutte in lettere minuscole. |
||
|
INIZIO |
Termine con il quale viene sancito l’inizio di una struttura di pseudocodifica. Nel caso in cui faccia riferimento ad una struttura viene seguito dal nome della struttura che la identifica. |
Vocabolo tutte in lettere maiuscole. |
||
|
FINE |
Termine con il quale viene sancita la fine di una struttura di pseudocodifica. Nel caso in cui faccia riferimento ad una struttura viene seguito dal nome della struttura che la identifica. |
Vocabolo tutta in lettere maiuscole. |
||
|
Frase |
Significato |
Notazione |
||
|
CICLO con VERIFICA A PRIORI |
La verifica viene effettuata prima dell’esecuzione del Struttura composta. |
Espressioni tutte in lettere minuscole. |
||
|
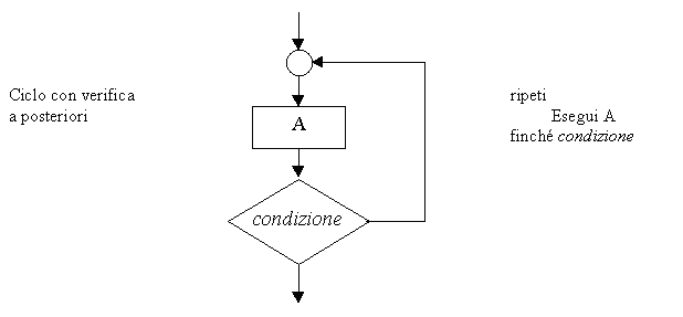
CICLO con VERIFICA A POSTERIORI |
La verifica viene effettuata dopo dell’esecuzione del Struttura composta. |
Espressioni tutte in lettere minuscole. |
||
Leggi nome Legge un valore
Leggi file Legge un record del file con i suoi campi
Apri file Apre un file e si posiziona sul primo record
Chiudi file Chiude un file
Vai al successivo Il record corrente è quello successivo
File.Campo Identificazione di un campo di un file del record corrente
Stampa Permette la stampa di valori
Rpt. Nome Report
In questa parte vengono proposte le figure che all’interno di un diagramma di flusso rappresentano una azione e la corrispondente struttura letterale associata per la pseudocodifica.

Si considera il ramo alla destra del simbolo di condizione il ramo vero.
Le lettere A e B rappresentano istruzioni semplici o blocchi di istruzioni.

Non sono ammesse altre rappresentazioni. Nel caso in cui si debba eseguire una istruzione o un blocco di istruzioni quando una condizione non si verifica, si neghi la condizione e si utilizzi il costrutto precedente.
7.3.3.3 Cicli
Un ciclo viene effettuato per il vero della condizione, rappresentato sempre dal ramo destro. Nel caso di dover effettuarlo per il falso si nega la condizione. L’uscita verso il basso rappresenta quindi il falso della condizione.
La lettera A rappresenta una istruzione semplice o un blocco di istruzioni.
